Вернуться к содержанию учебника
Страница 232
1197 1198 1199 1200 1201 1202 1203 1204 1205 1206 1207
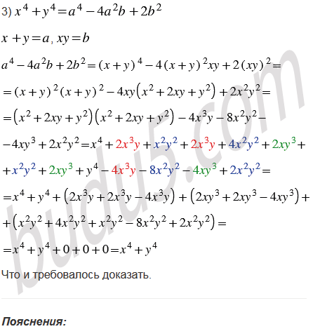
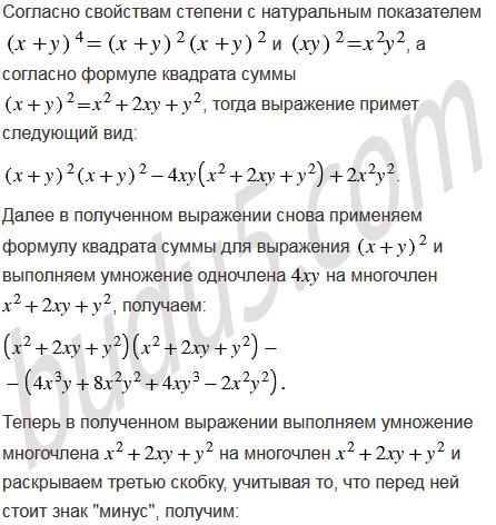
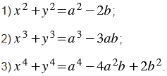
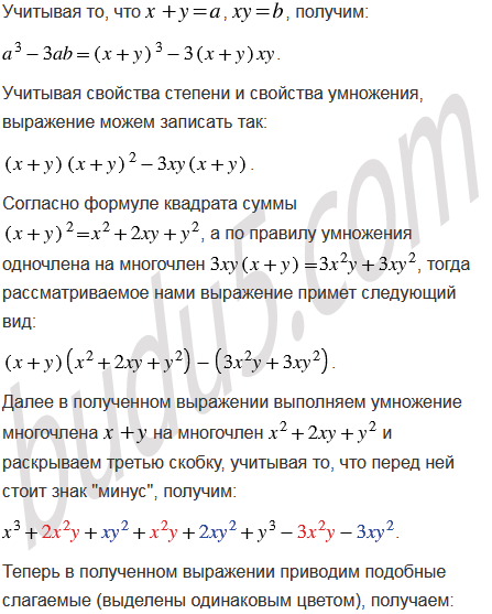
Пусть . Докажите, что:
Вспомните: