Номер 961 - ГДЗ Алгебра 7 класс. Мерзляк, Полонский. Учебник. Страница 190

Вернуться к содержанию учебника

Страница 190

958 959 960 961 962 963 964

Вопрос

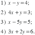
Постройте график уравнения:

Подсказка

Вспомните:

  1. Какое равенство называется уравнением с двумя переменными.
  2. Какое уравнение с двумя переменными называют линейным.
  3. Что является решением уравнения с двумя переменными.
  4. Свойства уравнений с двумя переменными.
  5. Что такое график уравнения с двумя переменными.
  6. Что является графиком линейного уравнения с двумя переменными.
  7. Сложение, вычитание и умножение рациональных чисел.

Ответ


Вернуться к содержанию учебника