Номер 952 - ГДЗ Алгебра 7 класс. Мерзляк, Полонский. Учебник. Страница 190

Вернуться к содержанию учебника

Страница 190

949 950 951 952 953 954 955

Вопрос

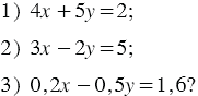
Решением каких из уравнений является пара чисел (3; 2):

Подсказка

Вспомните:

  1. Какое равенство называется уравнением с двумя переменными.
  2. Какое уравнение с двумя переменными называют линейным.
  3. Что является решением уравнения с двумя переменными.

Ответ


Вернуться к содержанию учебника