Вернуться к содержанию учебника
Страница 126
723 724 725 726 727 728 729 730 731 732 733
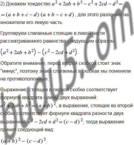
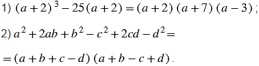
Докажите тождество:
Вспомните: