Вернуться к содержанию учебника
1. Прибавляй по одному, начиная с числа одиннадцать, до числа двадцать.
В нашем справочнике повтори тему про числа от 11 до 20.
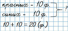
2. Сколько красных флажков на нитке? синих?

Сколько всего флажков?
Как по-разному можно ответить на этот вопрос?
В нашем справочнике повтори темы о сложении и о числах от 11 до 20.
Решение
Сколько красных флажков на нитке? - 10, или 1 десяток
Сколько синих флажков на нитке? - 10, или 1 десяток
Сколько всего флажков?
10 + 10 = 20 (фл.)
1 дес. + 1 дес. = 2 дес. (фл.)
Как по-разному можно ответить на этот вопрос?
20 флажков
2 десятка флажков
Объяснение
1 способ


2 способ


Цепочка

Вернуться к содержанию учебника