Страница 56. ПР 3. Вариант 1 - ГДЗ Математика 2 класс Волкова Проверочные работы

Вернуться к содержанию

Умножение и деление

Вопрос

1. Представь следующие числа в виде суммы одинаковых слагаемых.

Подсказка

Сумму одинаковых слагаемых можно заменить умножением.

Ответ

Вопрос

2. Прочитай каждую задачу. Соедини линией кружок с номером задачи и карточку, на которой записано её решение.

 

                                        

1 На каждый плащ пришивают по б пуговиц. Сколько пуговиц потребу­ется для четырёх таких плащей?

2 На 4 плаща пришили 24 пугови­цы, поровну на каждый. Сколько пу­говиц пришили на один плащ?

3 На плащ пришили 6 пуговиц, а на куртку — 4. На сколько больше пуговиц пришили на плащ, чем на куртку?

Подсказка

Сумму одинаковых слагаемых можно заменить умножением.

Ответ

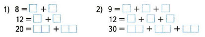
Вопрос

3. Запиши в окошки такие числа, чтобы получились верные равенства.

Подсказка

Умножение – это последовательное сложение чисел, а деление – это последовательное вычитание чисел.

Ответ

Вернуться к содержанию